Register Now

Login

Lost Password

Lost your password? Please enter your email address. You will receive a link and will create a new password via email.

222-9+11+12:2*14+14 = ? ( )

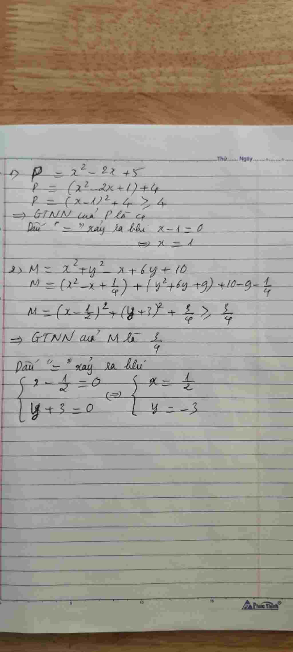
Toán Lớp 8: Tìm giá trị nhỏ nhất P=x^2-2x+5 M=x^2+y^2-x+6y+10

Toán Lớp 8: Tìm giá trị nhỏ nhất
P=x^2-2x+5
M=x^2+y^2-x+6y+10

Comments ( 2 )

  1. Giải đáp:
    Phía dưới
    Lời giải và giải thích chi tiết:
    P=x^2-2x+5
    P=x^2-2x+1+4
    P=(x-1)^2+4 ≥4
    Dấu = xảy ra khi và chỉ khi x-1=0 <=>x=1
    Vậy P_(min)=4 khi x=1
    M=x^2+y^2-x+6x+10
    M=x^2+y^2-x+6x+10+9-9+1/4-1/4
    M=(x^2-x+1/4)+(y^2+6y+9)+10-9-1/4
    M=(x-1/2)^2+(y+3)^2+3/4 ≥3/4
    Dấu = xảy ra khi và chỉ khi {(x-1/2=0),(y+3=0):}<=>{(x=1/2),(y=-3):}
    Vậy M_(min)=3/4 khi x=1/2 và y=-3

  2. Đáp án:
     
    Giải thích các bước giải:
     

    toan-lop-8-tim-gia-tri-nho-nhat-p-2-2-5-m-2-y-2-6y-10

Leave a reply

222-9+11+12:2*14+14 = ? ( )