Register Now

Login

Lost Password

Lost your password? Please enter your email address. You will receive a link and will create a new password via email.

222-9+11+12:2*14+14 = ? ( )

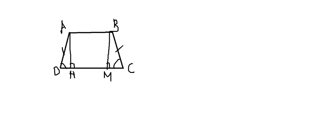
Toán Lớp 8: Hình thang cân ABCD có đáy nhỏ AB=b, đáy lớn CD=a, đường cao AH. Chứng minh HD=a-b/2,HC =a+b/2

Toán Lớp 8: Hình thang cân ABCD có đáy nhỏ AB=b, đáy lớn CD=a, đường cao AH. Chứng minh HD=a-b/2,HC =a+b/2

Comments ( 2 )

  1. Lời giải và giải thích chi tiết:
    Gọi BM là đường cao của B và cho BC=AD
    Giải
    Xét 2 tam giác ADH và BCM có:(H=M=$90^o$)
    AD=BC( theo mik cho)
    D=C(Hình thang cân)
    =>tam giác ADH=BCM(cạnh huyền-góc nhọn)
    =>DH=MC(2 cạnh t.ứng) (bruh)
    =>AH=BM(2 cạnh t.ứng)
    Ta có: AB//HM
    =>ABHM là hình thang
    Mà trong hình thang ABHM có AH=BM
    =>AB=HM(theo TC đoạn chắn)
    Và AB=HM=b
    Lại có: Vì DH=HC nên có thể gọi là 2DH
    =>DH+HC=DC-HM
    =>2DH=a-b ( vì a=CD; HM=AB=b)
    *DH=(a-b)/2 (ĐPCM)
    Lại có:
    HC=HM+HC
    Mà HC cũng bằng (a-b)/2  (Vì MC=DH theo bruh)
    =>HC=b+(a-b)/2
    =>HC=(b+a)/2  (ĐPCM)
                        —————————-Xin Câu trả lời hay nhất nếu đc 🙂 ————————-
    #NoCopy

    toan-lop-8-hinh-thang-can-abcd-co-day-nho-ab-b-day-lon-cd-a-duong-cao-ah-chung-minh-hd-a-b-2-hc

  2. $\\$
    Kẻ đường cao $BM (M⊥DC)$
    Có : ABCD là hình thang cân ($AB//CD$)
    ->AD=BC (2 cạnh bên), hat{D}=hat{C} (2 góc ở đáy)
    Xét ΔAHD và ΔBMC có :
    hat{AHD}=hat{BMC}=90^o (Do AH là đường cao, BM là đường cao)
    AD=BC (cmt)
    hat{D}=hat{C} (cmt)
    -> ΔAHD = ΔBMC (cạnh huyền – góc nhọn)
    -> HD = MC (2 cạnh tương ứng)
    Có : AH⊥DC (Do AH là đường cao), BM⊥DC (Do BM là đường cao)
    $→ AH//BM$
    Mà $AB//HM$
    -> AB = HM, AH = BM
    Có : HD + HM + MC = DC
    -> HD +  HD + b = a
    -> 2HD = a-b
    ->HD =(a-b)/2  (1)
    Có : AB + DC= HM + MC + HM + MC = 2HM + 2MC = 2 (HM + MC)=2HC
    ->a+b=2HC
    -> HC=(a+b)/2 (2)
    Từ (1), (2)
    -> Đpcm
     

    toan-lop-8-hinh-thang-can-abcd-co-day-nho-ab-b-day-lon-cd-a-duong-cao-ah-chung-minh-hd-a-b-2-hc

Leave a reply

222-9+11+12:2*14+14 = ? ( )

About Thanh Thu