Register Now

Login

Lost Password

Lost your password? Please enter your email address. You will receive a link and will create a new password via email.

222-9+11+12:2*14+14 = ? ( )

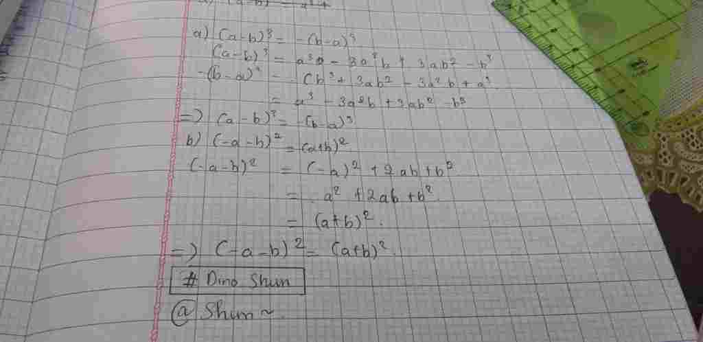
Toán Lớp 8: Chứng minh các đẳng thức sau: a) (a – b)3 = -(b – a)3 b) (-a – b)2 = (a + b)2

Toán Lớp 8: Chứng minh các đẳng thức sau:
a) (a – b)3 = -(b – a)3
b) (-a – b)2 = (a + b)2

Comments ( 2 )

  1. Giải đáp:
     Dưới hình
    Lời giải và giải thích chi tiết:
    Cũng dưới hình lun :))

    toan-lop-8-chung-minh-cac-dang-thuc-sau-a-a-b-3-b-a-3-b-a-b-2-a-b-2

  2. a) (a – b)^3 =-(b – a)^3
    Ta có: -(b – a)^3=-(b^3-3b^2a+3ba^2-a^3)
    =-b^3+3b^2a-3ba^2+a^3
    =a^3-3ba^2+3b^2a-b^3
    =(a – b)^3
    Vậy (a – b)^3 =-(b – a)^3
    b) (-a – b)^2 = (a + b)^2
    Ta có: (-a – b)^2=(-a)^2-2.-a.b+b^2
    =a^2+2ab+b^2
    = (a + b)^2
    Vậy (-a – b)^2 = (a + b)^2

Leave a reply

222-9+11+12:2*14+14 = ? ( )