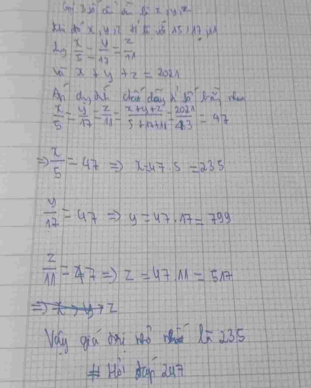
Toán Lớp 7: số 2021 chia thành 3 số tỉ lệ với 15,17,11 . Gía trị nhỏ nhất là :
Leave a reply
About Hải Phượng
Related Posts
Toán Lớp 5: Một khu vườn hình chữ nhật có chiều dài gấp đôi chiều rộng, nếu tăng chiều rộng 10m và giảm chiều dài 10m thì diện tích khu gườn tăng t
Toán Lớp 5: Bài 1.Một xưởng dệt được 732m vải hoa chiếm 91,5% tổng số vải xưởng đó đã dệt. Hỏi xưởng đó đã dệt được bao nhiêu mét vải? (0.5 Points)
Toán Lớp 8: a, 3x^3 – 6x^2 -6x +12 =0 b, 8x^3 -8x^2 – 4x + 1=0
Toán Lớp 5: Số nhỏ nhất trong các số đo khối lượng 1,512kg, 1,5kg, 1kg51dag, 15dag5g là
Toán Lớp 5: Số nhỏ nhất trong các số đo khối lượng 1,512kg, 1,5kg, 1kg51dag, 15dag5g là giúp mik với, gấp lm
Comments ( 2 )
Giải đáp+Lời giải và giải thích chi tiết:
Gọi 3 số cần tìm lần lượt là a,b,c
Vì 3 số được chia tỉ lệ với 15,17,11 nên ta có:
a/15=b/17=c/11
Vì 3 số có tổng là 2021 nên ta có:
a+b+c=2021
Áp dụng tính chất dãy tỉ số bằng nhau ta được:
a/15=b/17=c/11=[a+b+c]/[15+17+11]=2021/43=47
=>{(a/15=47),(b/17=47),(c/11=47):}=>{(a=47.15=705),(b=47.17=799),(c=47.11=517):}
=>a>b>c
Vậy giá trị nhỏ nhất trong ba phần của số 2021 là 517
Xin hay nhất
