Register Now

Login

Lost Password

Lost your password? Please enter your email address. You will receive a link and will create a new password via email.

222-9+11+12:2*14+14 = ? ( )

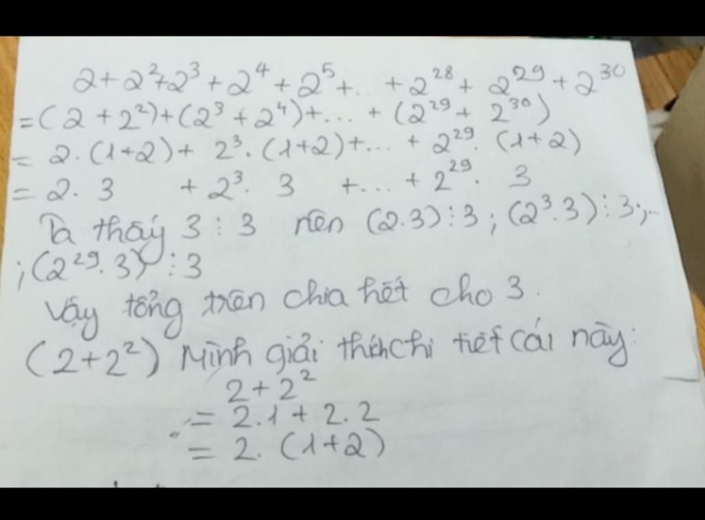
Toán Lớp 6: Tổng sau có chia hết cho 3 không 2 + 2^2 + 2^3 + 2^4 + 2^5 + …+ 2^28 + 2^29 + 2^30

Toán Lớp 6: Tổng sau có chia hết cho 3 không 2 + 2^2 + 2^3 + 2^4 + 2^5 + …+ 2^28 + 2^29 + 2^30

Comments ( 2 )

  1. Giải đáp:
     
    Lời giải và giải thích chi tiết:
     2 +2^2 +2^3 +2^4 + …. +2^29 +2^30
    = (2+2^2 ) + (2^3 +2^4 ) +….. +(2^29 +2^30)
    = ( 2.1 +2.2) + (2^3 .1 +2^3 .2 ) +…..+ (2^29. 1 +2^29 .2)
    = 2 (1+2) +2^3 (1+2) +…..+ 2^29(1+2)
    =2.3 +2^3.3 + …..+ 2^29.3
    = 3(2+2^3 + ….+2^29 )
    mà 3 $\vdots$ 3
    => 3(2+2^3 + ….+2^29 )  $\vdots$ 3
    => 2 +2^2 +2^3 +2^4 + …. +2^29 +2^30 $\vdots$ 3
    vậy tổng  2 + 2^2 + 2^3 + 2^4 + 2^5 + …+ 2^28 + 2^29 + 2^30 chia hết cho 3

Leave a reply

222-9+11+12:2*14+14 = ? ( )