Register Now

Login

Lost Password

Lost your password? Please enter your email address. You will receive a link and will create a new password via email.

222-9+11+12:2*14+14 = ? ( )

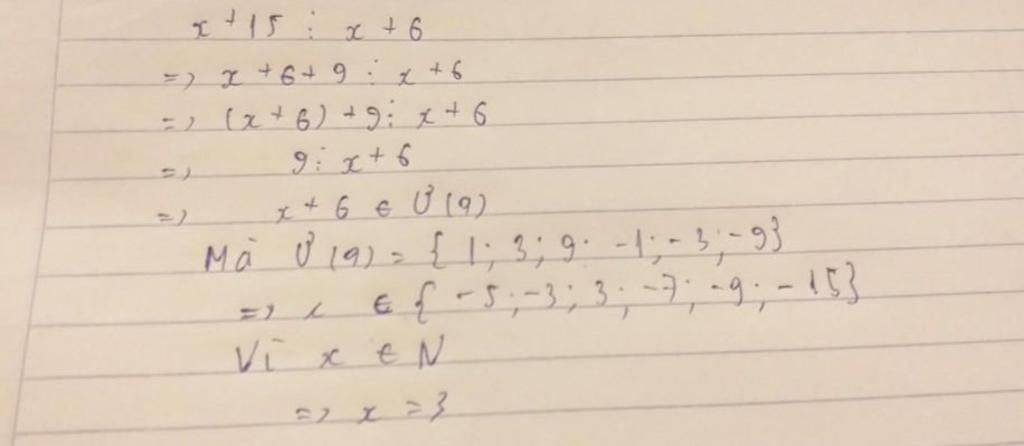
Toán Lớp 6: Tìm x: (x+15) chia hết cho (x+6)

Toán Lớp 6: Tìm x:
(x+15) chia hết cho (x+6)

Comments ( 1 )

  1. Giải đáp:
    Lời giải và giải thích chi tiết:
     

    toan-lop-6-tim-15-chia-het-cho-6

Leave a reply

222-9+11+12:2*14+14 = ? ( )

About An Kim