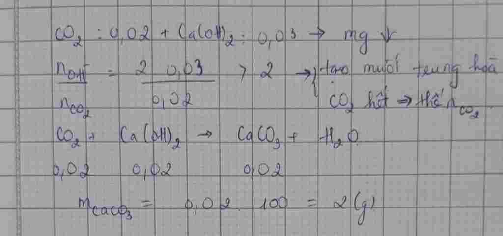
Hóa học Lớp 11: Hấp thụ hoàn toàn 0,448 lít CO2 (đktc) vào 300ml dung dịch 0,1M Ca(OH)2 thu được m gam kết tủa. Giá trị m là, giúp em giải bài hóa này ạ, em cảm ơn thầy cô và các bạn nhiều.
Leave a reply
About Quỳnh Nhi
Related Posts
Hóa học Lớp 11: Hao tán 13 g một kim loại có hoá trị không đổi vào HNO3 . Sau phản ứng có 0,005 mol muối NH4NO3 . Xác định kim loạ đã dùng. Giúp e với
Hóa học Lớp 8: Khi nung nóng quặng đồng malachite, chất này bị phân hủy thành đồng II oxit CuO, hơi nước và khí cacbonic. Tính khối lượng của khí cacb
Hóa học Lớp 8: C1 vô ý đỗ dấm (axetic) lên nền gạch hoa( trong thành phần có chất canxi cacbonat ta quan sát thấy có bọt khí sủi lên a) dấu hiệu nào
Hóa học Lớp 8: 2. Al + O2 Al2O3 3. CuO + HCl CuCl2 + H2O 4. Na + H2O NaOH + H2 5. CaO + HNO3 Ca(NO3)2 + H2O 6. Zn + O2 ZnO 7. K2O + H2O KOH 8. Al + HC
Hóa học Lớp 9: Em cần giải gấp ạ Bằng phương pháp hóa học hãy chứng minh 3 dung dịch(bị mất nhãn dán tên) sau: HCl, NaOH, NaCl ở lọ nào?
Comments ( 2 )
Gợi ý lời giải Phân tích: 0,04 mol CO2 + 0,03 mol
Ca(OH)2 CO2 + Ca(OH)2 → CaCO3 + H20 (*)
CacO3 + CO2 + H20 – Ca(HCO3)2 (**) Theo (*)
nc02 (*) dư = 0,01 mol; ngaco3 (*) = 0,03 mol
Theo (**) nCaCO3 (**) dư = 0,03 – 0,01 = 0,02 mol =
Vậy đáp án đúng là C