Register Now

Login

Lost Password

Lost your password? Please enter your email address. You will receive a link and will create a new password via email.

222-9+11+12:2*14+14 = ? ( )

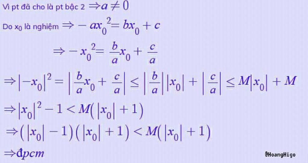
Toán Lớp 9: Gọi x0 là nghiệm của pt bậc 2 ax^2 + bc + c = 0 và M = max{|b/a| ; |c/a|} CMR: |x0|

Toán Lớp 9: Gọi x0 là nghiệm của pt bậc 2
ax^2 + bc + c = 0 và M = max{|b/a| ; |c/a|} CMR: |x0|

Comments ( 2 )

  1. Giải đáp+Lời giải và giải thích chi tiết:
     Nếu |x_0|<=1thg hiển nhiên 
    Nếu |x_0|>1
    Ta có:
    bx_0+c=-ax_0^2
    Do đó:
    |x_0|^2=|b/ax_0+c/a|<=|b/a||x_0|+|c/a|<=M(|x_0|+1)
    |x_0|^2-1<=|x_0|^2<=M(|x_0|+1)
    Nên |x_0|-1<Mhay |x_0|<M+1

  2. Giải đáp + Lời giải và giải thích chi tiết:
     

    toan-lop-9-goi-0-la-nghiem-cua-pt-bac-2-a-2-bc-c-0-va-m-ma-b-a-c-a-cmr-0-m-1

Leave a reply

222-9+11+12:2*14+14 = ? ( )

About Hòa Tâm