Toán Lớp 9: giúp mình với ạ,mình cần gấp,cảm ơn mọi người nhiều
mình sẽ vote 5 sao và ctlhn cho bạn trả lời nhanh nhất và chính xác nhất nhé :3
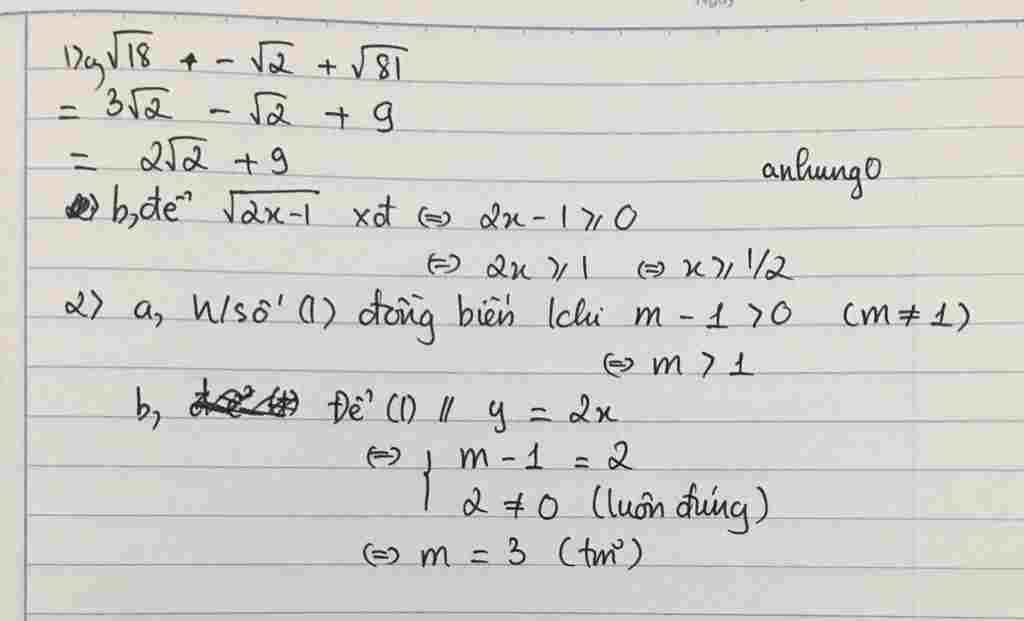
ĐỀ:
1)
a)Tính √18 -√2+√81
b)Tìm X để √(2x-1) xác định
2)Cho hàm số y=(m-1)x+2 (1)
a) Tìm m để hàm số (1) là hàm số đồng biến
b)Tìm m để đồ thị hàm số (1) là đường thẳng song song với đường thẳng y+2x
Leave a reply
About Hồng
Related Posts
Toán Lớp 5: Một khu vườn hình chữ nhật có chiều dài gấp đôi chiều rộng, nếu tăng chiều rộng 10m và giảm chiều dài 10m thì diện tích khu gườn tăng t
Toán Lớp 5: Bài 1.Một xưởng dệt được 732m vải hoa chiếm 91,5% tổng số vải xưởng đó đã dệt. Hỏi xưởng đó đã dệt được bao nhiêu mét vải? (0.5 Points)
Toán Lớp 8: a, 3x^3 – 6x^2 -6x +12 =0 b, 8x^3 -8x^2 – 4x + 1=0
Toán Lớp 5: Số nhỏ nhất trong các số đo khối lượng 1,512kg, 1,5kg, 1kg51dag, 15dag5g là
Toán Lớp 5: Số nhỏ nhất trong các số đo khối lượng 1,512kg, 1,5kg, 1kg51dag, 15dag5g là giúp mik với, gấp lm
Comments ( 2 )
Đáp án
