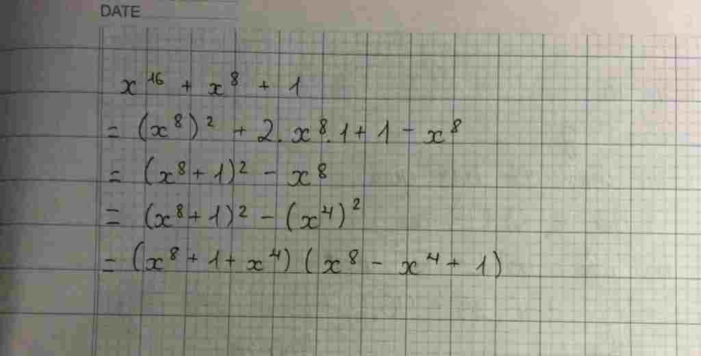
Toán Lớp 8: phân tích nhân tử x^16 + x^8+1
Leave a reply
About Huyền Thanh
Related Posts
Toán Lớp 5: Một khu vườn hình chữ nhật có chiều dài gấp đôi chiều rộng, nếu tăng chiều rộng 10m và giảm chiều dài 10m thì diện tích khu gườn tăng t
Toán Lớp 5: Bài 1.Một xưởng dệt được 732m vải hoa chiếm 91,5% tổng số vải xưởng đó đã dệt. Hỏi xưởng đó đã dệt được bao nhiêu mét vải? (0.5 Points)
Toán Lớp 8: a, 3x^3 – 6x^2 -6x +12 =0 b, 8x^3 -8x^2 – 4x + 1=0
Toán Lớp 5: Số nhỏ nhất trong các số đo khối lượng 1,512kg, 1,5kg, 1kg51dag, 15dag5g là
Toán Lớp 5: Số nhỏ nhất trong các số đo khối lượng 1,512kg, 1,5kg, 1kg51dag, 15dag5g là giúp mik với, gấp lm
Comments ( 2 )
{x^{16}} + {x^8} + 1\\
= {\left( {{x^8}} \right)^2} + 2.{x^8}.1 + 1 – {x^8}\\
= {\left( {{x^8} + 1} \right)^2} – {x^8}\\
= {\left( {{x^8} + 1} \right)^2} – {\left( {{x^4}} \right)^2}\\
= \left( {{x^8} + 1 + {x^4}} \right)\left( {{x^8} – {x^4} + 1} \right)
\end{array}$
Mong đc hay nhất ạ
