Register Now

Login

Lost Password

Lost your password? Please enter your email address. You will receive a link and will create a new password via email.

222-9+11+12:2*14+14 = ? ( )

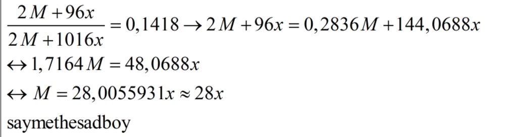
Toán Lớp 8: làm sao từ 2M+96x/2M+1016x=0,1418 ra M=28x vậy ạ?

Toán Lớp 8: làm sao từ 2M+96x/2M+1016x=0,1418 ra M=28x vậy ạ?

Comments ( 1 )

  1. Đáp án:
     
    Giải thích các bước giải:
     

    toan-lop-8-lam-sao-tu-2m-96-2m-1016-0-1418-ra-m-28-vay-a

Leave a reply

222-9+11+12:2*14+14 = ? ( )

About Tâm