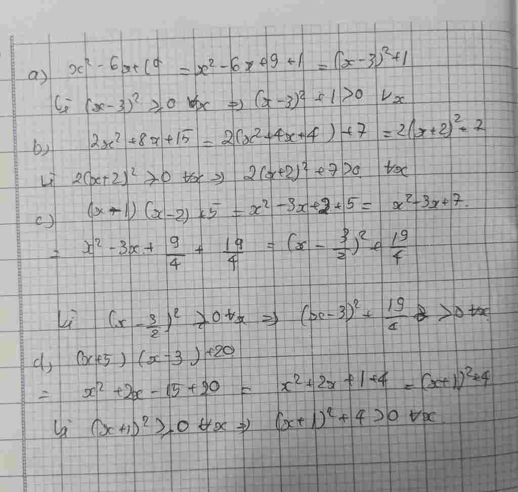
Toán Lớp 8: Chứng minh rằng các biểu thức sau luôn nhận giá trị dương với mọi giá trị của biến.
a) x ² – 6x + 10
b) 2x ² + 8x + 15
c) (x – 1).(x – 2) + 5
d) (x + 5).(x – 3) + 20
Mọi người ơi giúp mình với, cảm ơn nhiều ạ!
Leave a reply
About Lan Phương
Related Posts
Toán Lớp 5: Một khu vườn hình chữ nhật có chiều dài gấp đôi chiều rộng, nếu tăng chiều rộng 10m và giảm chiều dài 10m thì diện tích khu gườn tăng t
Toán Lớp 5: Bài 1.Một xưởng dệt được 732m vải hoa chiếm 91,5% tổng số vải xưởng đó đã dệt. Hỏi xưởng đó đã dệt được bao nhiêu mét vải? (0.5 Points)
Toán Lớp 8: a, 3x^3 – 6x^2 -6x +12 =0 b, 8x^3 -8x^2 – 4x + 1=0
Toán Lớp 5: Số nhỏ nhất trong các số đo khối lượng 1,512kg, 1,5kg, 1kg51dag, 15dag5g là
Toán Lớp 5: Số nhỏ nhất trong các số đo khối lượng 1,512kg, 1,5kg, 1kg51dag, 15dag5g là giúp mik với, gấp lm
Comments ( 2 )
Đây nha bạn

Đáp án nha bn mik ko lấy đc câu d
