Register Now

Login

Lost Password

Lost your password? Please enter your email address. You will receive a link and will create a new password via email.

222-9+11+12:2*14+14 = ? ( )

Toán Lớp 8: Cho a+b+c=0. Chứng minh rằng a ³+b ³+c ³=3abc Làm bằng 2 cách giúp mik nha mng! Càng chi tiết càng tốt ạ~

Toán Lớp 8: Cho a+b+c=0. Chứng minh rằng a ³+b ³+c ³=3abc
Làm bằng 2 cách giúp mik nha mng! Càng chi tiết càng tốt ạ~

Comments ( 2 )

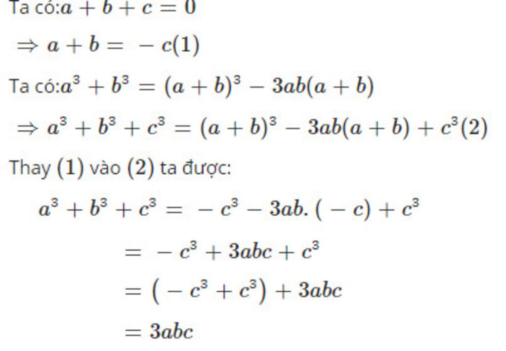
  1. Giải đáp+Lời giải và giải thích chi tiết:
    $Cách$ $1$
    $Ta$ $có$ $:$
    $a^{3}+b^{3}+c^{3}$
    $=(a+b)^{3}-3ab(a+b)+c^{3}$
    $Lại$ $có$ $:$ $a+b+c=0⇒a+b=-c$
    $⇒(-c)^{3}-3ab(-c)+c^{3}$
    $=-c^{3}+c^{3}+3abc$
    $=3abc$
    $\text{Vậy $a^{3}+b^{3}+c^{3}$ = 3abc}$
    $Cách$ $2$
    $Ta$ $có$ $:$ $a+b+c=0⇒a+b=-c$
    $⇔(a+b)^{3}=(-c)^{3}$
    $⇒(a+b)^{3}=-c^{3}$
    $⇒a^{3}+3a^{2}b+3ab^{2}+b^{3}=-c^{3}$
    $⇒a^{3}+3ab(a+b)+b^{3}=-c^{3}$
    $⇒a^{3}+b^{3}+c^{3}=-3ab(a+b)$
    $⇒a^{3}+b^{3}+c^{3}=-3ab(-c)$
    $⇒a^{3}+b^{3}+c^{3}=3abc$
    $\text{Vậy $a^{3}+b^{3}+c^{3}$ = 3abc}$

Leave a reply

222-9+11+12:2*14+14 = ? ( )

About Khanh