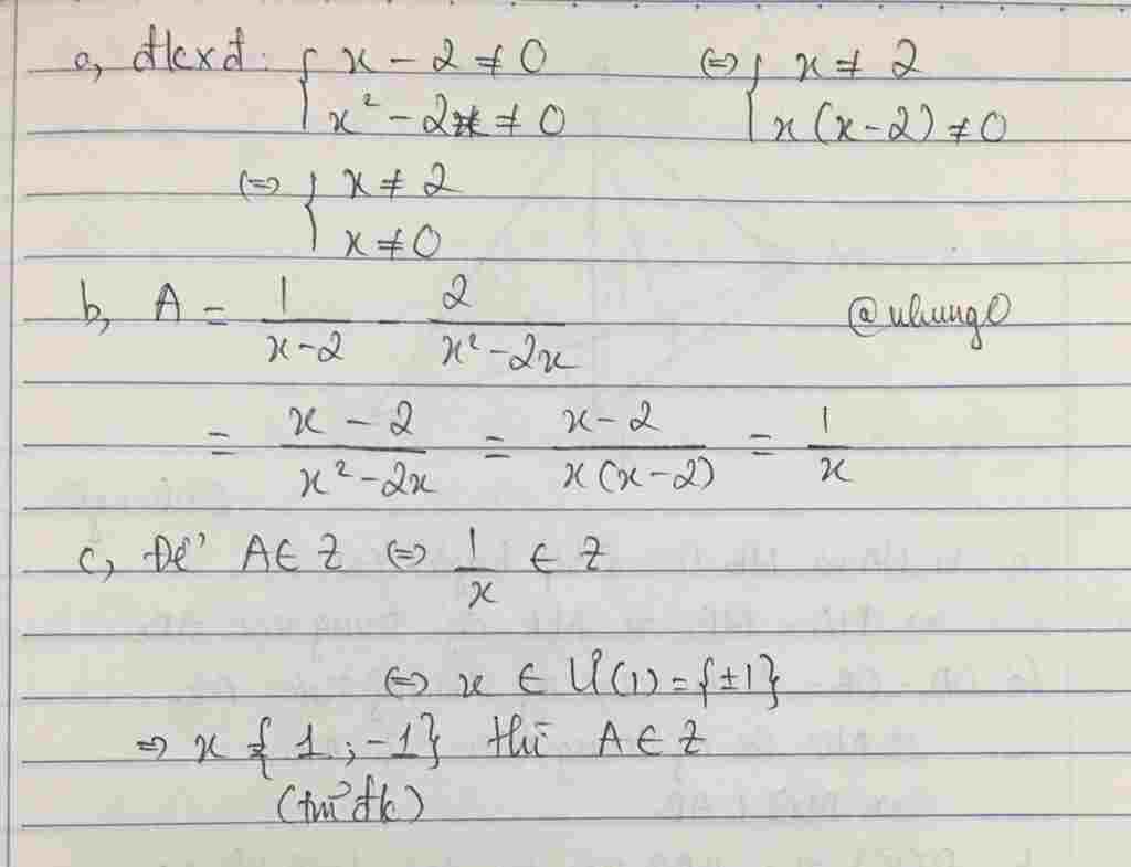
Toán Lớp 8: Bài 8: Cho A = 1/(x – 2) – 2/(x^2 – 2x)
a)Tìm điều kiện của x để giá trị của phân thức A được xác định.
b)Rút gọn A.
c)Tìm số tự nhiên x để phân thức A có giá trị nguyên
Leave a reply
About Phương
Related Posts
Toán Lớp 5: Một khu vườn hình chữ nhật có chiều dài gấp đôi chiều rộng, nếu tăng chiều rộng 10m và giảm chiều dài 10m thì diện tích khu gườn tăng t
Toán Lớp 5: Bài 1.Một xưởng dệt được 732m vải hoa chiếm 91,5% tổng số vải xưởng đó đã dệt. Hỏi xưởng đó đã dệt được bao nhiêu mét vải? (0.5 Points)
Toán Lớp 8: a, 3x^3 – 6x^2 -6x +12 =0 b, 8x^3 -8x^2 – 4x + 1=0
Toán Lớp 5: Số nhỏ nhất trong các số đo khối lượng 1,512kg, 1,5kg, 1kg51dag, 15dag5g là
Toán Lớp 5: Số nhỏ nhất trong các số đo khối lượng 1,512kg, 1,5kg, 1kg51dag, 15dag5g là giúp mik với, gấp lm
Comments ( 2 )
a)
Để phân thức A được xác định thì:
{(x-2\ne0),(x^2-2x\ne0):}
<=>{(x\ne2),(x.(x-2)\ne0):}
<=>{(x\ne2),(x\ne0;2):}
Vậy để phân thức A được xác định thì x\ne0;2
b)
A=1/(x-2)-2/(x^2-2x)(x\ne0;2)
A=1/(x-2)-2/(x.(x-2))
A=x/(x.(x-2))-2/(x.(x-2))
A=(x-2)/(x.(x-2))
A=1/x
Vậy A=1/x tại x\ne0;2
c)
Để phân thức A có giá trị nguyên thì 1/x có giá trị nguyên:
=>1\vdotsx
=>x\in Ư(1)={+-1}
Mà x là số tự nhiên
=>x=1
Vậy x=1
Đáp án
