Register Now

Login

Lost Password

Lost your password? Please enter your email address. You will receive a link and will create a new password via email.

222-9+11+12:2*14+14 = ? ( )

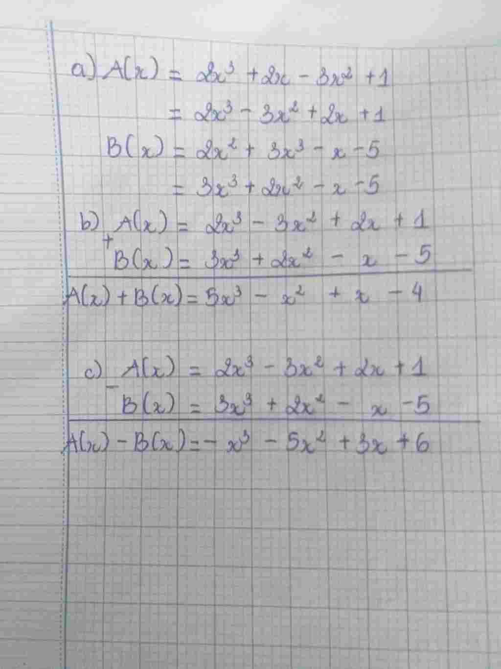
Toán Lớp 8: A(x)=2x/3+2x-3x/2+1 B(x)=2x/2+3x/3-x-5 a)sắp xếp các đa thức theo lũy thừa giảm dần các biến b)tính A(x)+B(x) c)tính A(x)-

Toán Lớp 8: A(x)=2x/3+2x-3x/2+1 B(x)=2x/2+3x/3-x-5 a)sắp xếp các đa thức theo lũy thừa giảm dần các biến b)tính A(x)+B(x)
c)tính A(x)-B(x)

Comments ( 2 )

  1. Giải đáp + Lời giải và giải thích chi tiết:
    a)
    Sắp xếp:
    + A(x)=2x^3-3x^2+2x+1
    + B(x)=3x^3+2x^2-x-5
    b)
    A(x)+B(x)=2x^3-3x^2+2x+1+3x^3+2x^2-x-5
    =>A(x)+B(x)=(2x^3+3x^3)-(3x^2-2x^2)+(2x-x)+(1-5)
    =>A(x)+B(x)=5x^3-x^2+x-4
    c)
    A(x)-B(x)=(2x^3-3x^2+2x+1)-(3x^3+2x^2-x-5)
    =>A(x)-B(x)=2x^3-3x^2+2x+1-3x^3-2x^2+x+5
    =>A(x)-B(x)=(2x^3-3x^3)-(3x^2+2x^2)+(2x+x)+(1+5)
    =>A(x)-B(x)=-x^3-5x^2+3x+6
     

Leave a reply

222-9+11+12:2*14+14 = ? ( )