Register Now

Login

Lost Password

Lost your password? Please enter your email address. You will receive a link and will create a new password via email.

222-9+11+12:2*14+14 = ? ( )

Toán Lớp 7: Tìm các số x,y,z biết: 2^x-2.3^y-3.5^z-1=144

Toán Lớp 7: Tìm các số x,y,z biết:
2^x-2.3^y-3.5^z-1=144

Comments ( 2 )

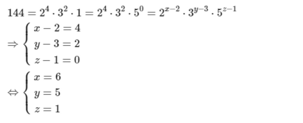
  1. Giải đáp:
     
    Lời giải và giải thích chi tiết:
    144 = $2^{4}$ .$3^{2}$ . 1 =$2^{4}$ . $3^{2}$ . 5 = $2^{x -2}$ . $3^{y-3}$ .$5^{z-1}$ 
    ⇒$\begin{cases} x – 2 = 4\\y – 3 = 2\\z – 1 = 0 \end{cases}$
    ⇔$\begin{cases} x = 6\\y=5\\z=1 \end{cases}$
    Vậy…

  2. Đáp án:
     
    Giải thích các bước giải:
     

    toan-lop-7-tim-cac-so-y-z-biet-2-2-3-y-3-5-z-1-144

Leave a reply

222-9+11+12:2*14+14 = ? ( )