Register Now

Login

Lost Password

Lost your password? Please enter your email address. You will receive a link and will create a new password via email.

222-9+11+12:2*14+14 = ? ( )

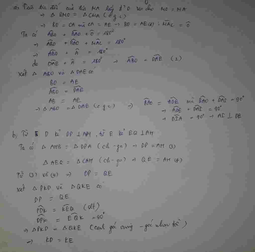
Toán Lớp 7: Cho tam giác ABC.Ở miền ngoài tam giác ABC vẽ hai tam giác ABD,ACE là các tam giác vuông cân tại A.Gọi H là chân đường vuông góc kẻ từ

Toán Lớp 7: Cho tam giác ABC.Ở miền ngoài tam giác ABC vẽ hai tam giác ABD,ACE là các
tam giác vuông cân tại A.Gọi H là chân đường vuông góc kẻ từ A xuống BC và M là trung
điểm BC.Tia HA cắt DE tại K,tia MA cắt DE tại I.Chứng minh rằng: a)AI vuông góc DE
b)KD=KE.

Comments ( 2 )

  1. Gửi bạn nha. Chúc bạn học tốt!!!
    toan-lop-7-cho-tam-giac-abc-o-mien-ngoai-tam-giac-abc-ve-hai-tam-giac-abd-ace-la-cac-tam-giac-vu

  2. Chúc bạn học tốt!
    Cho mình xin 5 sao, cảm ơn và câu trả lời hay nhất ạ
     

    toan-lop-7-cho-tam-giac-abc-o-mien-ngoai-tam-giac-abc-ve-hai-tam-giac-abd-ace-la-cac-tam-giac-vu

Leave a reply

222-9+11+12:2*14+14 = ? ( )

About Audrey