Register Now

Login

Lost Password

Lost your password? Please enter your email address. You will receive a link and will create a new password via email.

222-9+11+12:2*14+14 = ? ( )

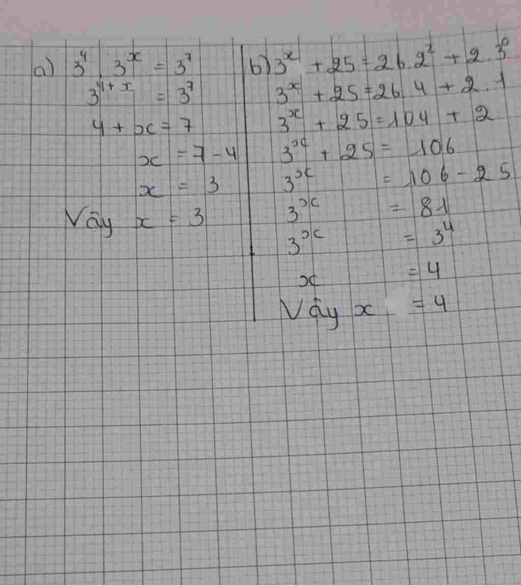
Toán Lớp 6: Bài 1 : Tìm x, biết a, 3^4 . 3^ x = 3^7 b, 3^x + 25 = 26 . 2^2 + 2 . 3^0

Toán Lớp 6: Bài 1 : Tìm x, biết
a, 3^4 . 3^ x = 3^7
b, 3^x + 25 = 26 . 2^2 + 2 . 3^0

Comments ( 2 )

  1. Bạ có thắc mắc gì thì bình luận ở dưới ạ.

    toan-lop-6-bai-1-tim-biet-a-3-4-3-3-7-b-3-25-26-2-2-2-3-0

  2. Giải đáp:
     
    Lời giải và giải thích chi tiết:
     a, 3^4.3^x=3^7
          3^4+x     =3^7
        ⇒        4+x=7
                       x =7-4
                       x =3
    b, 3^x + 25 = 26 . 2^2 + 2 . 3^0
        3^x+25   =26.4+2.1
         3^x+25  =104+2
          3^x+25 =106
          3^x       =106-25
          3^x       =81
              3^x   = 3^4
            ⇒    x    =4

Leave a reply

222-9+11+12:2*14+14 = ? ( )

About Hương