Toán Lớp 11: Phương trình sin^2 x+ sinx -2 =0 có nghiệm
Giải giúp em với ạ
Leave a reply
About Lan Anh
Related Posts
Toán Lớp 5: Một khu vườn hình chữ nhật có chiều dài gấp đôi chiều rộng, nếu tăng chiều rộng 10m và giảm chiều dài 10m thì diện tích khu gườn tăng t
Toán Lớp 5: Bài 1.Một xưởng dệt được 732m vải hoa chiếm 91,5% tổng số vải xưởng đó đã dệt. Hỏi xưởng đó đã dệt được bao nhiêu mét vải? (0.5 Points)
Toán Lớp 8: a, 3x^3 – 6x^2 -6x +12 =0 b, 8x^3 -8x^2 – 4x + 1=0
Toán Lớp 5: Số nhỏ nhất trong các số đo khối lượng 1,512kg, 1,5kg, 1kg51dag, 15dag5g là
Toán Lớp 5: Số nhỏ nhất trong các số đo khối lượng 1,512kg, 1,5kg, 1kg51dag, 15dag5g là giúp mik với, gấp lm
Comments ( 2 )
Giải đáp:
cho mình hay nhất nha
Lời giải và giải thích chi tiết:
Giải đáp:
Lời giải và giải thích chi tiết:
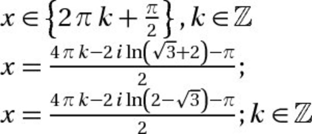
sin^2x + sinx – 2 = 0
<=> sinx = 1
<=> x = π/2 + k2π ,k∈ Z
hoặc sinx = -2 (vô nghiệm)
vậy phương trình có một nghiệm x = π/2 + k2π ,k∈ Z