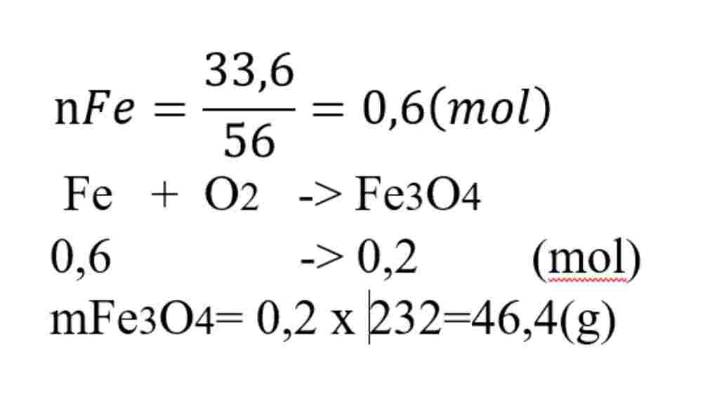
Hóa học Lớp 9: Đốt cháy 33,6 gam bột Fe trong khí oxi sau phản ứng thu được chất rắn a khối lượng chất rắn thu được sau phản ứng là
Giải giúp em với ạ, giúp em giải bài hóa này ạ, em cảm ơn thầy cô và các bạn nhiều.
Leave a reply
About Quỳnh Hà
Related Posts
Hóa học Lớp 11: Hao tán 13 g một kim loại có hoá trị không đổi vào HNO3 . Sau phản ứng có 0,005 mol muối NH4NO3 . Xác định kim loạ đã dùng. Giúp e với
Hóa học Lớp 8: Khi nung nóng quặng đồng malachite, chất này bị phân hủy thành đồng II oxit CuO, hơi nước và khí cacbonic. Tính khối lượng của khí cacb
Hóa học Lớp 8: C1 vô ý đỗ dấm (axetic) lên nền gạch hoa( trong thành phần có chất canxi cacbonat ta quan sát thấy có bọt khí sủi lên a) dấu hiệu nào
Hóa học Lớp 8: 2. Al + O2 Al2O3 3. CuO + HCl CuCl2 + H2O 4. Na + H2O NaOH + H2 5. CaO + HNO3 Ca(NO3)2 + H2O 6. Zn + O2 ZnO 7. K2O + H2O KOH 8. Al + HC
Hóa học Lớp 9: Em cần giải gấp ạ Bằng phương pháp hóa học hãy chứng minh 3 dung dịch(bị mất nhãn dán tên) sau: HCl, NaOH, NaCl ở lọ nào?
Comments ( 2 )