Register Now

Login

Lost Password

Lost your password? Please enter your email address. You will receive a link and will create a new password via email.

222-9+11+12:2*14+14 = ? ( )

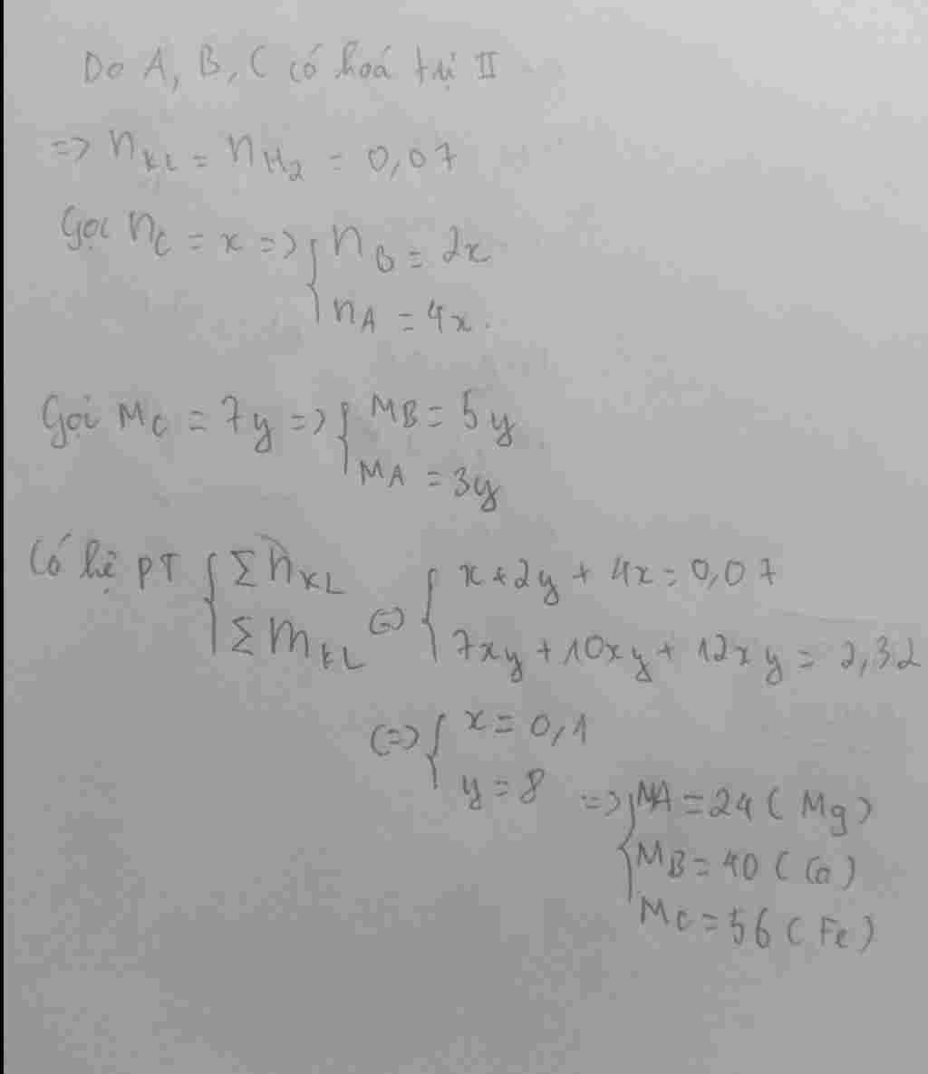
Hóa học Lớp 8: một hỗn hợp gồm 3 kim loại A,B,C đc trộn lẫn với nhau theo tỉ lệ số mol nguyên tử 4:2:1.Nguyên tử khối của chúng tỷ lệ với nhau là 3:5:

Hóa học Lớp 8: một hỗn hợp gồm 3 kim loại A,B,C đc trộn lẫn với nhau theo tỉ lệ số mol nguyên tử 4:2:1.Nguyên tử khối của chúng tỷ lệ với nhau là 3:5:7.lấy 2,32 gam hỗn hợp đó tác dụng với HCl có dư thì thu đc 1,568 lít H2 ở đktc
Xác định các kim loại A,B,C biết rằng chúng đều có hóa trị 2 trong muối clorua tạo thành, giúp em giải bài hóa này ạ, em cảm ơn thầy cô và các bạn nhiều.

Comments ( 2 )

  1. Đáp án:
     
    Giải thích các bước giải:
     

    hoa-hoc-lop-8-mot-hon-hop-gom-3-kim-loai-a-b-c-dc-tron-lan-voi-nhau-theo-ti-le-so-mol-nguyen-tu

  2. Giải đáp + Lời giải và giải thích chi tiết:
     Gọi số mol kim loại A,B,C lần lượt là 4x,2x,1x và KLNT tương ứng là Ma,Mb,Mc
    nH2O = $\frac{1,568}{22,4}$ = 0,07 mol
    ptpư : A + 2HCl → ACl2 + H2
       (mol)                      4x     4x          (1)
               B + 2HCl → BCl2 + H2
    (mol)                          2x     2x          (2)
               C +2HCl → CCl2 + H2
    (mol)                           x      x             (3)
    Từ (1),(2),(3)→ 4x + 2x + x = 0,07→ x= 0,01   (a)
    Ta có Mb = $\frac{5}{3}$ Ma   (b)
               Mc = $\frac{7}{3}$ Ma    (c)
    Mặt khác ta có : Ma*4x + Mb*2x + Mc*x )= 2,32 (d)
    Từ (a),(b),(c),(d) → Ma* ( 0,04 +$\frac{5}{3}$* 0,02 + $\frac{7}{3}$ * 0,01 = 2,32
                                 → Ma = 24 (Mg)
                                            Mb=$\frac{5}{3}$*24=40(Ca)
     Mc = $\frac{7}{3}$ * 24 = 56(Fe)
    #chúc_bạn_học_tốt
    #banhbaonuong

Leave a reply

222-9+11+12:2*14+14 = ? ( )

About Mỹ anh