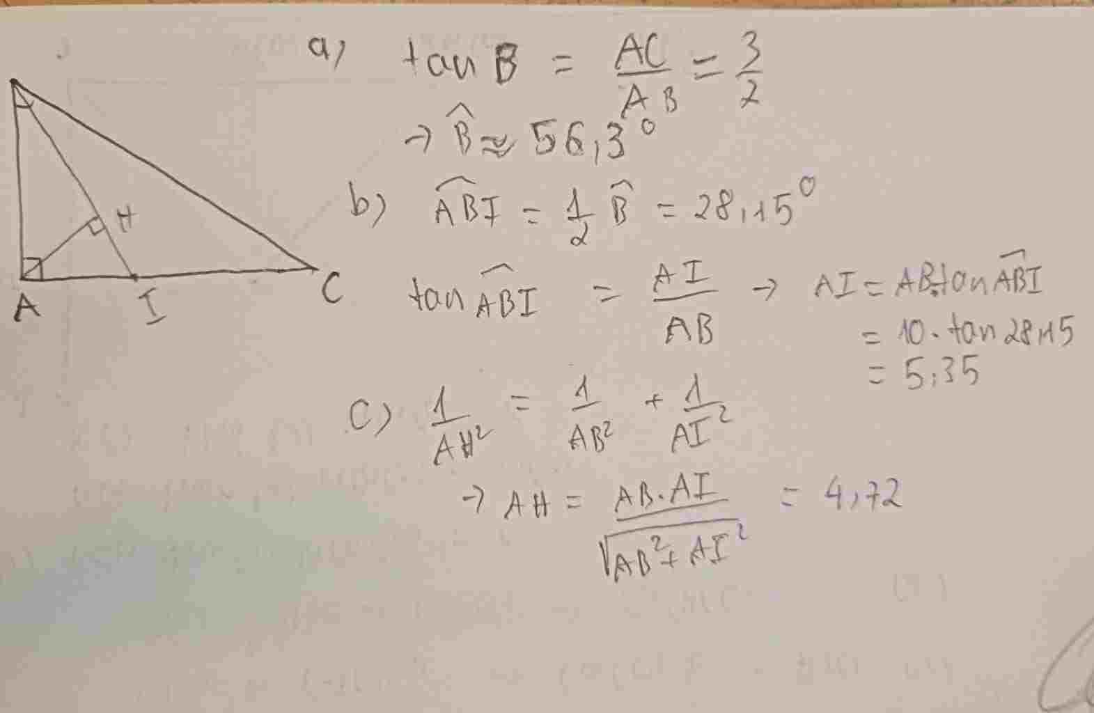
Toán Lớp 9: Cho tam giác ABC vuông tại A, AB = 10cm, AC = 15cm.
a) Tính góc B.
b) Phân giác trong góc B cắt AC tại I. Tính độ dài AI.
c) Vẽ AH vuông góc với BI tại H. Tính độ dài AH
Leave a reply
About Bảo Anh
Related Posts
Toán Lớp 5: Một khu vườn hình chữ nhật có chiều dài gấp đôi chiều rộng, nếu tăng chiều rộng 10m và giảm chiều dài 10m thì diện tích khu gườn tăng t
Toán Lớp 5: Bài 1.Một xưởng dệt được 732m vải hoa chiếm 91,5% tổng số vải xưởng đó đã dệt. Hỏi xưởng đó đã dệt được bao nhiêu mét vải? (0.5 Points)
Toán Lớp 8: a, 3x^3 – 6x^2 -6x +12 =0 b, 8x^3 -8x^2 – 4x + 1=0
Toán Lớp 5: Số nhỏ nhất trong các số đo khối lượng 1,512kg, 1,5kg, 1kg51dag, 15dag5g là
Toán Lớp 5: Số nhỏ nhất trong các số đo khối lượng 1,512kg, 1,5kg, 1kg51dag, 15dag5g là giúp mik với, gấp lm
Comments ( 2 )
Chúc em học tốt

Nhớ vote anh nha