Register Now

Login

Lost Password

Lost your password? Please enter your email address. You will receive a link and will create a new password via email.

222-9+11+12:2*14+14 = ? ( )

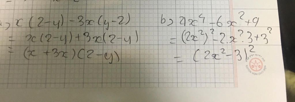
Toán Lớp 8: Phân tích nhé a; x(2-y) – 3x(y-2) b; 2x^4 – 6x^2 +9

Toán Lớp 8: Phân tích nhé
a; x(2-y) – 3x(y-2)
b; 2x^4 – 6x^2 +9

Comments ( 2 )

  1. Giải đáp+Lời giải và giải thích chi tiết:
     a)x(2-y) -3x(y-2)
    =x(2-y)+3x(2-y)
    =(x+3x)(2-y)
    b)4x^4 -6x^2 +9
    =(2x^2)^2 -2.x^2 .3 +3^2
    =(2x^2 -3)^2

  2. Mong bạn cho cảm ơn và lời giải hay nhất và cảm ơn kèm năm sao và ❤️
    toan-lop-8-phan-tich-nhe-a-2-y-3-y-2-b-2-4-6-2-9

Leave a reply

222-9+11+12:2*14+14 = ? ( )

About Quỳnh