Register Now

Login

Lost Password

Lost your password? Please enter your email address. You will receive a link and will create a new password via email.

222-9+11+12:2*14+14 = ? ( )

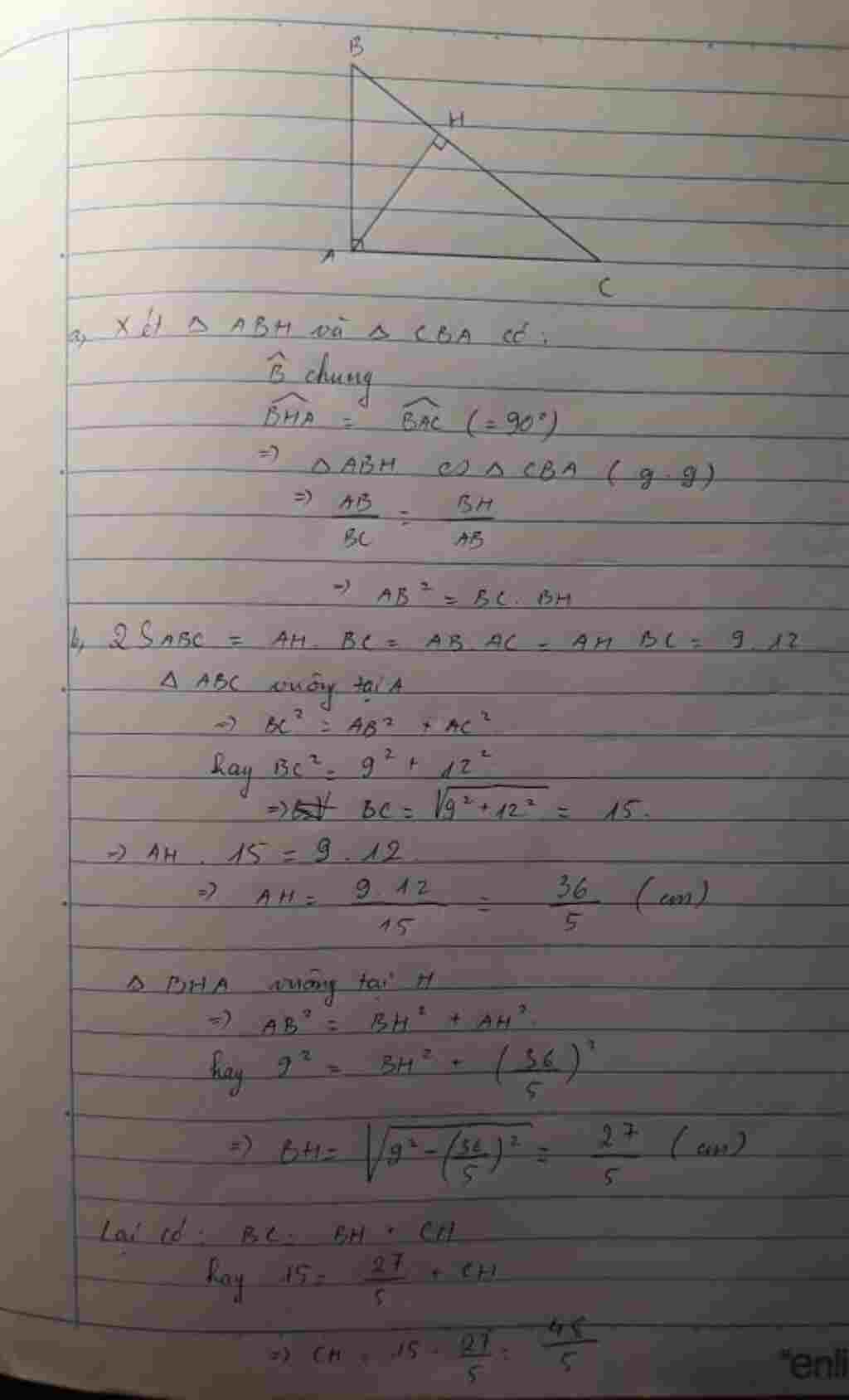
Toán Lớp 8: cho tam giác ABC vuông tại A kẻ đường cao AH a, Chứng minh: ab^2 = BH. BC b, Tính AH,BH CH biết AB=9; AC=12 c, Chứng minh tam giác ABH

Toán Lớp 8: cho tam giác ABC vuông tại A kẻ đường cao AH
a, Chứng minh: ab^2 = BH. BC
b, Tính AH,BH CH biết AB=9; AC=12
c, Chứng minh tam giác ABH đồng dạng AH
(Cho mk xin hình+cách giải)

Comments ( 2 )

  1. a/ Xét $ΔBHA$ và $BAC$:
    $\widehat B:chung$
    $\widehat{BHA}=\widehat{BAC}(=90^\circ)$
    $→ΔBHA\backsim ΔBAC(g-g)$
    $→\dfrac{AB}{BH}=\dfrac{BC}{BA}$
    $↔AB^2=BH.BC$
    b/ Áp dụng định lý Pytago vào $ΔABC$ vuông tại $A$:
    $→BC=\sqrt{AB^2+AC^2}=\sqrt{9^2+12^2}=\sqrt{81+144}=\sqrt{225}=15cm$
    $AB^2=BH.BC\\↔9^2=BH.15\\↔81=BH.15\\↔5,4cm=BH$
    $BC=BH+CH\\↔15=5,4+CH\\↔9,6cm=CH$
    $ΔBHA\backsim ΔBAC$
    $→\dfrac{BA}{AH}=\dfrac{BC}{AC}$
    $↔AH.BC=BA.AC$ hay $AH.15=9.12$
    $↔AH.15=108\\↔AH=7,2cm$
    c/ Xét $ΔABH$ và $ΔCAH$:
    $\widehat{AHB}=\widehat{CHA}(=90^\circ)$
    $\widehat{ABH}=\widehat{CAH}$ (cùng phụ $\widehat C$)
    $→ΔABH\backsim ΔCAH(g-g)$

    toan-lop-8-cho-tam-giac-abc-vuong-tai-a-ke-duong-cao-ah-a-chung-minh-ab-2-bh-bc-b-tinh-ah-bh-ch

  2. Giải đáp+Lời giải và giải thích chi tiết:
    Bạn xem hình nha

    toan-lop-8-cho-tam-giac-abc-vuong-tai-a-ke-duong-cao-ah-a-chung-minh-ab-2-bh-bc-b-tinh-ah-bh-ch

Leave a reply

222-9+11+12:2*14+14 = ? ( )

About Kim Xuân