Register Now

Login

Lost Password

Lost your password? Please enter your email address. You will receive a link and will create a new password via email.

222-9+11+12:2*14+14 = ? ( )

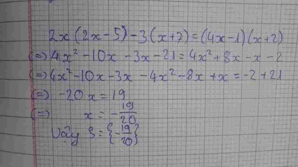
Toán Lớp 8: 2x*(2x-5)-3*(x+7)=(4x-1)*(x+2) mong mn giúp em ạ

Toán Lớp 8: 2x*(2x-5)-3*(x+7)=(4x-1)*(x+2) mong mn giúp em ạ

Comments ( 2 )

  1. Giải đáp + Lời giải và giải thích chi tiết:
    2x(2x-5)-3(x+7)=(4x-1)(x+2)
    <=>4x^2-10x-3x-21=4x^2+8x-x-2
    <=>4x^2-10x-3x-21-4x^2-8x+x+2=0
    <=>-20x-19=0
    <=>-20x=19
    <=>x=-19/20
    Vậy S={-19/20}.
     

  2. Mk rút gọn 1 số phần tính toán để cho ngắn gọn giúp bn nhìn dễ hơn nha còn nếu có chỗ nào bn k bt thì hỏi Mk. Mình chỉ v nha
    CHÚC BN HỌC TỐT
     

    toan-lop-8-2-2-5-3-7-4-1-2-mong-mn-giup-em-a

Leave a reply

222-9+11+12:2*14+14 = ? ( )

About Ayla