Register Now

Login

Lost Password

Lost your password? Please enter your email address. You will receive a link and will create a new password via email.

222-9+11+12:2*14+14 = ? ( )

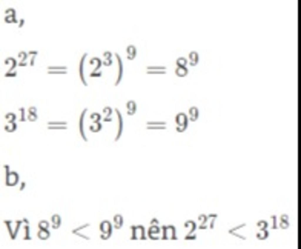
Toán Lớp 7: CÂU 1 :Viết 2 mũ 27 và 3 mũ 18 dưới dạng lũy thừa có số mũ 9 CÂU 2 :So sánh 2 mũ 27 và 3 mũ 18

Toán Lớp 7: CÂU 1 :Viết 2 mũ 27 và 3 mũ 18 dưới dạng lũy thừa có số mũ 9
CÂU 2 :So sánh 2 mũ 27 và 3 mũ 18

Comments ( 2 )

  1. Đây nha bạn
     CHÚC BẠN HỌC TỐT!

    toan-lop-7-cau-1-viet-2-mu-27-va-3-mu-18-duoi-dang-luy-thua-co-so-mu-9-cau-2-so-sanh-2-mu-27-va

  2. Câu 1:
    2^27=2^(3.9)=(2^3)^9=8^9
    3^18=3^(2.9)=(3^2)^9=9^9
    Câu 2:
    Theo bài trên, ta có:
    2^27=8^9
    3^18=9^9
    Mà 9^9>8^9
    Nên 2^27<3^18

Leave a reply

222-9+11+12:2*14+14 = ? ( )