Register Now

Login

Lost Password

Lost your password? Please enter your email address. You will receive a link and will create a new password via email.

222-9+11+12:2*14+14 = ? ( )

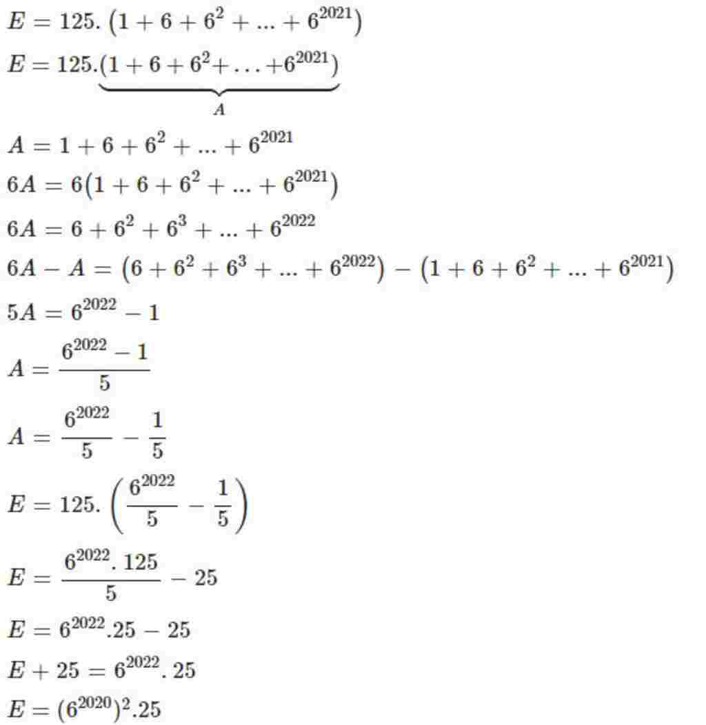
Toán Lớp 6: Tìm A: A = 125x( 1 + 6 + 6^2 +6^3 + -…+ 6^2021)

Toán Lớp 6: Tìm A: A = 125x( 1 + 6 + 6^2 +6^3 + …….+ 6^2021)

Leave a reply

222-9+11+12:2*14+14 = ? ( )

About Thảo