Register Now

Login

Lost Password

Lost your password? Please enter your email address. You will receive a link and will create a new password via email.

222-9+11+12:2*14+14 = ? ( )

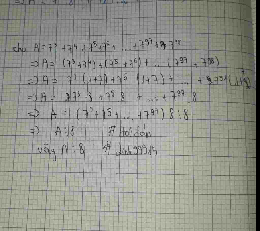
Toán Lớp 6: Cho A = 73 + 74 + 75 + 76 + –+ 797 + 798 Chứng tỏ A chia hết cho 8.

Toán Lớp 6: Cho A = 73 + 74 + 75 + 76 + ……..+ 797 + 798
Chứng tỏ A chia hết cho 8.

Comments ( 2 )

  1. $7^{3}$ + $7^{4}$ + $7^{5}$ + $7^{6}$ + … $7^{97}$ + $7^{98}$
    = ( $7^{3}$ + $7^{4}$ ) + ( $7^{5}$ + $7^{6}$) + … + ( $7^{97}$ + $7^{98}$ )
    = $7^{3}$ ( 1 + 7 ) + $7^{5}$ ( 1 + 7 ) +..+ $7^{97}$ ( 1 + 7 )
    = $7^{3}$ . 8 + $7^{5}$ . 8 + … + $7^{97}$ . 8
    = 8 ( $7^{3}$ + $7^{5}$ + … + $7^{97}$ ) chia hết cho 8 ( vì 8 chia hết cho 8}
             Vậy $7^{3}$ + $7^{4}$ + $7^{5}$ + $7^{6}$ + … $7^{97}$ + $7^{98}$ chia hết cho 8

  2. chúc chủ tus học tốt!
    nếu thick cho mik xin 5sao +camon+hay nhất ạ

    toan-lop-6-cho-a-73-74-75-76-797-798-chung-to-a-chia-het-cho-8

Leave a reply

222-9+11+12:2*14+14 = ? ( )