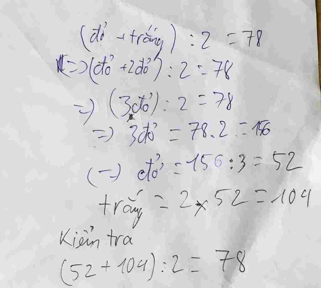
Toán Lớp 4: một hộp phấn có 2 màu:đỏ và trắng.Biết trung bình cộng số phấn mỗi loại là 78 viên biết số phấn đỏ bằng nửa số phấn trắng.Hỏi mỗi loại phấn có bao nhiêu viên?
giải bằng công thức lớp 4 nha
Leave a reply
About Mỹ anh
Related Posts
Toán Lớp 5: Một khu vườn hình chữ nhật có chiều dài gấp đôi chiều rộng, nếu tăng chiều rộng 10m và giảm chiều dài 10m thì diện tích khu gườn tăng t
Toán Lớp 5: Bài 1.Một xưởng dệt được 732m vải hoa chiếm 91,5% tổng số vải xưởng đó đã dệt. Hỏi xưởng đó đã dệt được bao nhiêu mét vải? (0.5 Points)
Toán Lớp 8: a, 3x^3 – 6x^2 -6x +12 =0 b, 8x^3 -8x^2 – 4x + 1=0
Toán Lớp 5: Số nhỏ nhất trong các số đo khối lượng 1,512kg, 1,5kg, 1kg51dag, 15dag5g là
Toán Lớp 5: Số nhỏ nhất trong các số đo khối lượng 1,512kg, 1,5kg, 1kg51dag, 15dag5g là giúp mik với, gấp lm
Comments ( 2 )
Em tự viết lời giải nhe
