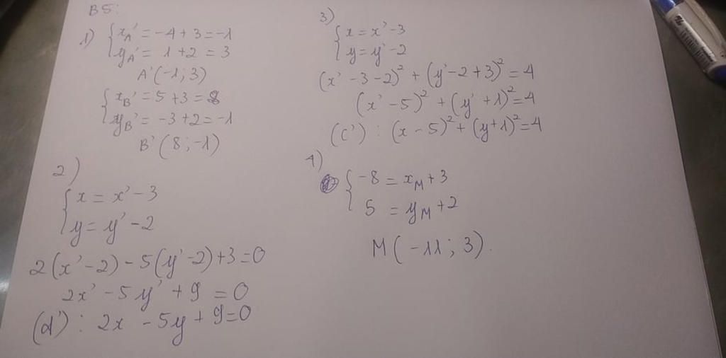
Toán Lớp 11: Bài 5. Trong mặt phẳng tọa độ Oxy xét phép tịnh tiến theo vectơ
v với v = (3;2)
1) Tìm ảnh của điểm A(−4;1)và ảnh của điểm B(5; 3− )qua phép tịnh tiến theo v .
2) Tìm ảnh của đường thẳng d x y : 2x- 5y+ 3=0 qua phép tịnh tiến theo vectơ v .
3) Tìm ảnh của đường tròn (C): (x-2)^2+(y+3)^2=4 qua phép tịnh tiến theo vectơ v .
4) Biết ảnh của điểm M là M'(−8;5). Tìm tọa độ điểm M.
Leave a reply
About Cẩm Hiền
Related Posts
Toán Lớp 5: Một khu vườn hình chữ nhật có chiều dài gấp đôi chiều rộng, nếu tăng chiều rộng 10m và giảm chiều dài 10m thì diện tích khu gườn tăng t
Toán Lớp 5: Bài 1.Một xưởng dệt được 732m vải hoa chiếm 91,5% tổng số vải xưởng đó đã dệt. Hỏi xưởng đó đã dệt được bao nhiêu mét vải? (0.5 Points)
Toán Lớp 8: a, 3x^3 – 6x^2 -6x +12 =0 b, 8x^3 -8x^2 – 4x + 1=0
Toán Lớp 5: Số nhỏ nhất trong các số đo khối lượng 1,512kg, 1,5kg, 1kg51dag, 15dag5g là
Toán Lớp 5: Số nhỏ nhất trong các số đo khối lượng 1,512kg, 1,5kg, 1kg51dag, 15dag5g là giúp mik với, gấp lm
Comments ( 1 )