Register Now

Login

Lost Password

Lost your password? Please enter your email address. You will receive a link and will create a new password via email.

222-9+11+12:2*14+14 = ? ( )

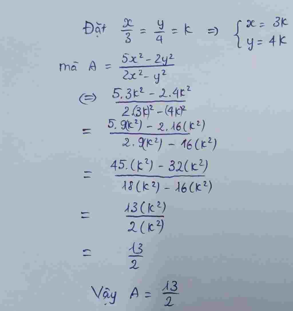
Toán Lớp 7: cho phân số -3 / -2020 đay là số gì [hưu tỉ dương hay âm hay cả âm và dương cho x/3=y/4 tính giá trị biểu thức A = 5x^2-2y^2 / 2x^2-y

Toán Lớp 7: cho phân số -3 / -2020 đay là số gì [hưu tỉ dương hay âm hay cả âm và dương
cho x/3=y/4 tính giá trị biểu thức A = 5x^2-2y^2 / 2x^2-y^2

Comments ( 1 )

  1. -3/-2020 là số hữu tỉ dương.
    toan-lop-7-cho-phan-so-3-2020-day-la-so-gi-huu-ti-duong-hay-am-hay-ca-am-va-duong-cho-3-y-4-tinh

Leave a reply

222-9+11+12:2*14+14 = ? ( )

About Kỳ Anh